Run Hu, School of Energy and Power Engineering, Huazhong University of Science and Technology, Wuhan 430074, Hubei, China. E-mail: hurun@hust.edu.cn
Abstract
Anomalous cooling or heating implies attractive underlying thermal physics, and the Mpemba effect and its inverse are typical examples. Most existing explanations for such phenomena are based on microscopic Markovian models that quantify relaxation using distance measures such as total variation distance or Kullback‑Leibler divergence. Here, we propose a macroscopic network system to observe and analyze the Mpemba effect and its inverse by connecting a thermoelectric module with a body and a reservoir at different initial temperatures. Normal cooling and anomalous cooling can be switched in such a setup, and oscillatory behaviors of temperature, current, and heat flow are found to be the key for achieving the Mpemba effect and its inverse. With an unambiguous definition of the criteria, the occurrence domain of the Mpemba effect is sketched in terms of initial temperature, thermoelectric Figure-of-Merit, and the inductance. This work provides a macroscopic network system to understand the Mpemba effect, and offers a more flexible and dynamic way for thermal management and energy conversion.
Graphical Abstract
Keywords
1. Introduction
Anomalous cooling or heating phenomena are always attractive as exploring the underlying physics can help our understanding of the universe and developing energy-related technologies, such as non-Fourier phonon transport[1], ballistic-hydrodynamic-diffusion crossover[2], nonreciprocal or directional thermal radiation[3-5], to name a few. Among them, Mpemba effect describes a counterintuitive cooling phenomenon that hot water can be cooled and even frozen faster than warm water[6,7]. In physics, it characterizes an anomalous relaxation process where a system initiated at high temperature relaxes faster than an identical system initiated at low temperature to an even colder state. Such a phenomenon was first reported by Aristotle about 2300 years ago but named after a high school student E. B. Mpemba in the 1960s when he surprisingly observed that hot water freezes faster than cold water[6]. Since then, Mpemba effect has been frequently debated about its complex mechanism and occurrence conditions, and similar phenomena were reported in broad systems beyond water such as magnetic system[8,9], colloidal system[10-12], polymers[13], granular fluid[14], spin glasses[15], quantum system[16-21], and so on. Analogously, the inverse Mpemba effect can also be observed when a cold system can heat up faster than the identical system with warmer initial temperature to an even hotter state[8,12,22]. There have been no widely accepted explanations for the Mpemba effect, let alone in different systems[23-26]. The explanations for the Mpemba effect of water have been attributed to evaporation[27], convection[28], supercooling[29], hydrogen bonding[30], etc. While Mpemba effect in colloids has been explained by a double well potential that confines the movement of the colloidal particles with clear experimental verification[10-12,31,32]. However, most of these explanations rely on microscopic frameworks, such as Markovian dynamics analyzed through probability distributions[8-12,24-26] or thermomajorization theory[33], and a macroscopic counterpart is still lacking.
Both Mpemba effect and its inverse involve three temperatures, Th, Tw, and Tc to denote the initial hot, warm, and cold states of the system that may vary in different systems but are relatively easy to define for anomalous heating or cooling. But how to define the occurrence of the Mpemba effect has suffered from vague definitions[33]. In most microscopic analysis involving Markovian dynamics, there exists a specific distance measure D with monotonicity and convexity to quantify the relaxation speed and how close toward the thermal equilibrium state π. In the beginning,
In this study, we report the Mpemba effect and its inverse and explain it by an inductor-resistor-capacitor (LRC) network that is composed of a typical thermoelectric module (TEM). The evolution of temperature and current can be pure damping or oscillatory, which is further demonstrated to be the key for anomalous heating and cooling, and enables the occurrence of Mpemba effect in p-type TEM and inverse Mpemba effect in n-type TEM. The dependences of Figure-of-Merit (ZT) and inductance (L) are analyzed with different initial temperature difference, which further helps sketch the occurrence domain of the Mpemba effect by taking either minimum t(π0→π) as the criterion or taking the maximum Tb(t) against reservoir temperature Tr during the temperature oscillation as the more stringent criterion. Our results provide an alternative system to observe and understand the Mpemba effect and its inverse, particularly with a macroscopic perspective.
2. Methods
Considering a TEM in Peltier mode connects a body with temperature Tb and a thermal reservoir at temperature Tr, as shown in the subfigure in Figure 1b, and heat conduction occurs between the TEM and the thermal reservoir due to the initial temperature difference ∆T0 = Tb0 - Tr. By ignoring the heat dissipation to the environment, we can build a 1-D model to characterize the temperature profile T(x) along the length of the TEM with a constant cross-sectional area according to Domenicali’s equation as[34]

Figure 1. Occurrence of Mpemba effect in LRC network consisted of Peltier element connecting a finite body at temperature Tb and a thermal reservoir at temperature Tr. (a) Evolution of temperature Tb with dimensionless time t/τ* for different initial temperatures ΔT0 of 10 K and 50 K, respectively. Evolution of (b) dimensionless temperature (Tb(t) - Tr)/ΔT0 and (c) dimensionless current I(t)/I0 with t/τ*. tmin denotes the first time Tb approaches Tr, which is dependent on the initial temperature ΔT0. The first minima and first maxima of Tb(t), Tbm1 and Tbm2, occur when the derivative of dTb(t)/dt vanishes. The subfigures in (b) illustrate the system setup, and in (c) denote the LRC network consisting of a TEM with internal resistance R, thermal conductance k in a closed circuit with an ideal inductance L, and a finite body with thermal capacity C and the thermal reservoir at constant temperature Tr. LRC: inductor-resistor-capacitor; TEM: thermoelectric module.
where I is the electric current, and the temperature-dependent parameters κ(T), R(T), and S(T) are thermal conductivity, electrical resistivity, and combined Seebeck coefficient of a typical TEM, respectively. According to Kelvin’s relation, the Peltier heating or cooling power could be characterized by the Peltier coefficient π at a rate of
where R is the internal resistance of the TEM and k is the thermal conductance between the TEM and the body and the thermal reservoir. Similarly, the electric profile along the TEM can also be calculated with a combination of the reversible Seebeck effect and the irreversible Ohm’s law, yielding
where L is the TEM electrical inductance, without which Equation (4) has been a standard protocol to describe the heat flow and electric current in a typical TEM[35,36]. It will be demonstrated later that the introduction of the inductance L is the key in this study, and the influence of either neglecting L or not will be discussed later. With L, the system can be considered as an LRC network, as shown in the subfigure in Figure 1c. Considering the thermal reservoir is infinite with a constant Tr, and the body to be connected through a TEM with the reservoir has a finite temperature Tb and a finite heat capacity C and assuming
after neglecting the Joule heating power RI2 and the magnetic energy
With tanδ = (R - L/τ)/Lω. In our following calculations, we keep R, k, and C as constant as 0.22 Ω, 0.0318 W/K, and 4.96 J/K, respectively, which are drawn from the experiments[35].
3. Results and Discussion
Now we achieve the Mpemba effect based on such setup with a p-type TEM in Figure 1. In such a setup, holes will be transferred from the high-temperature body Tb(t) to the low-temperature reservoir Tr, yielding a positive I(t) and S. When ∆ < 0, the body temperature Tb(t) evolutes with both oscillatory and pure damping behaviors. It is seen in Figure 1a that Tb(t) drops first until achieving the minimum Tbm1 even below the reservoir temperature Tr, and then increases to the maximum Tbm2 above Tr, and eventually approaches thermal equilibrium with Tr. Such oscillatory behavior depends on the initial temperature difference ΔT0. It is seen in Figure 1a that when ΔT0 = 50 K, Tb(t) drops faster to Tr than that with ΔT0 = 10 K, which implies a hot object cools faster than the warm one to the thermally balanced state, just as the Mpemba effect states. Such phenomenon can be observed more clearly with the dimensionless temperature (Tb(t) - Tr)/ΔT0 under the dimensionless time t/τ* in Figure 1b. The shortest time to achieving Tr, defined as tmin, can be characterized by tmin = (π/2 + δ)/ω ≈ π/2ω, will be influenced by the initial temperature difference ΔT0, temperature-dependent S, ZT, and L. Such tmin can be used to define the criterion of occurrence of Mpemba effect. It is seen that tmin @ΔT0 = 50 K is smaller than tmin @ΔT0 = 10 K, which validates the occurrence of the Mpemba effect. The oscillatory behavior can also be observed from the evolution of dimensionless current I(t) in Figure 1c. It is seen that I(t) increases firstly and then drops gradually and even becomes negative, which means the current in the LRC circuit is inversed, and finally I(t) vanishes in thermal equilibrium state.
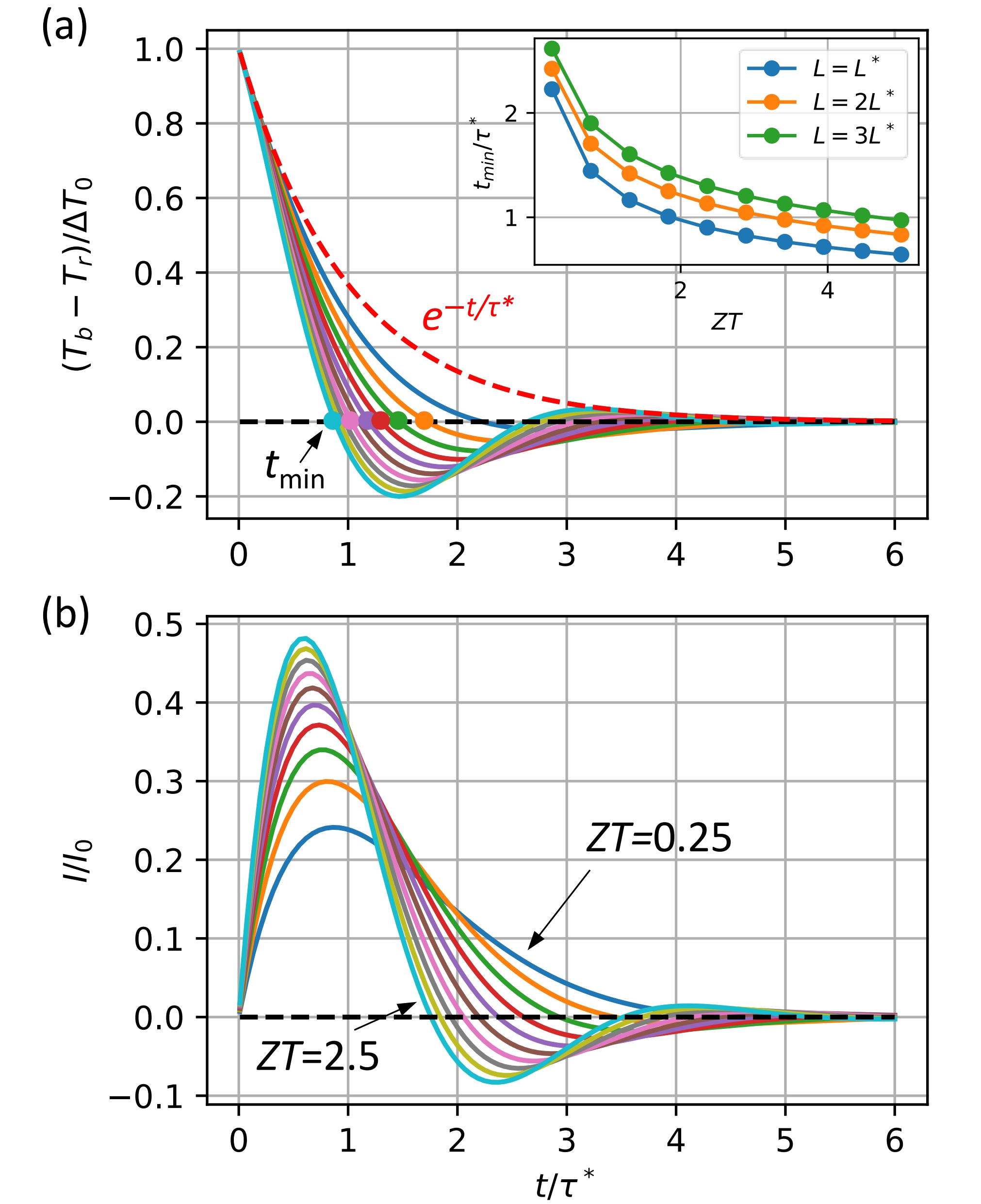
The Mpemba effect is influenced by both ZT and L, as illustrated in Figure 2 and Figure 3. It is seen in Figure 2 that with the increase of ZT, Tb(t) drops faster with larger derivative of dTb(t)/dt. Each time when Tb(t) approaches Tr, the dimensionless temperature (Tb(t) - Tr)/ΔT0 changes its sign, but the excess temperature over Tr become smaller and smaller, just as |Tbm1 - Tr| > |Tbm2 - Tr|. The red dash line in Figure 2a describes a corresponding pure damping relaxation e-t/τ* with a time constant τ* without oscillation. tmin, a criterion that characterizes the Mpemba effect, is also marked. It is seen that with the increase of ZT, tmin becomes smaller, implying the earlier occurrence of Mpemba effect. Meanwhile, both |Tbm1 - Tr| and |Tbm2 - Tr| become larger, implying the stronger oscillation of Tb(t) in the LRC network. When L = L*, the dimensionless time

Figure 2. ZT dependence of Mpemba effect. Evolution of (a) dimensionless temperature (Tb(t) - Tr)/ΔT0 and (b) dimensionless current I(t)/I0 with t/τ* under varying ZT between 0.25 to 2.5 in steps of 0.25. The red dash line in (a) denotes a corresponding damping relaxation with a time constant τ* without oscillation. The subfigure in (a) describes the ZT and L dependence of tmin/τ*.

Figure 3. L dependence of Mpemba effect. Evolution of (a) dimensionless temperature (Tb(t) - Tr)/ΔT0 and (b) dimensionless current I(t)/I0 with t/τ* under varying L.
Then one may question about the occurrence domain of Mpemba effect in such LRC system. As shown in Figure 4, we plot the domain of Mpemba effect by varying ZT, L, and ΔT0. If characterized by tmin, Mpemba effect happens when tmin@ΔT is larger than tmin @(ΔT + ξ), where ξ > 0 is a small temperature increment. It is seen that when ΔT0 and L tend to be smaller, more cases are pure damping behavior with normal cooling. On the contrary, with the increase of ΔT0 and L, the domain of Mpemba effect (anomalous cooling) becomes larger, as shown in the enhanced area of blue dots. Fundamentally, it is the oscillatory behavior that enables the occurrence of anomalous Mpemba effect, which will also enable the heat flow from cold temperature to the high temperature temporarily with both theoretically and experimentally demonstrations[35]. However, one may notice that Tbm1 is below Tr but Tbm2 may be above Tr, as shown in Supporting Information, and question about the definition of Mpenba effect when Tbm2 > Tr. So, we can further define more stringent occurrence criteria of Mpemba effect by both tmin@ΔT > tmin@(ΔT + ε) and Tbm2 < Tr which is more in line with the physical definition of cooling. With such stringent definition, the domain of Mpemba effect is reduced as shown that only a small number of blue dots can turn into red stars in Figure 4c,d. The corresponding Tb(t) and I(t) of black dot, blue dot, and red star can be found in Figure 1, Figure 2, and Figure 3 accordingly. More discussions on the occurrence domain of Mpemba effect with L ≈ 0 and L = L* can be found in Supporting Information.

Figure 4. Occurrence domain of Mpemba effect. (a-b) Domain of pure damping (black dot) and Mpemba effect (blue dot) characterized by tmin if tmin @ΔT is larger than tmin @(ΔT + ξ); (c-d) Domain of pure damping (black dot) and Mpemba effect characterized by Tbm2 with Tbm2 > Tr (blue dot) and Tbm2 < Tr (red star). All subfigures are with varying ZT between 0.25 to 2.5 in steps of 0.25, and varying ΔT0 between 1 to 100 in steps of 11. The given electrical inductance L is 1 (a,c) and 2 (b,d), respectively.
With thermoelectric LRC network, heat flow becomes oscillatory, which is the key to achieving Mpemba effect in this study fundamentally speaking. Such processes seem anomalous but do not violate the second law of thermodynamics[35,37]. It can be understood by considering two successive reversible combined power-refrigeration cycles with four stages in a full-period of oscillatory cycle of Tb(t) alternatively and the TEM acts as a thermoelectric generator (stage 1), a cooler (stage 2), a generator (stage 3), and a heater (stage 4), respectively. In the thermoelectric generator stage 1, the TEM generates electric power by absorbing heat Q1 from the body and storing the energy 0.5LI(t)2 in the inductor during the heat conduction from the body to the reservoir until Tb(t) approaches Tr descendingly. In the thermoelectric cooler stage 2, the TEM is driven by the accumulated inductive energy to continue absorbing heat Q2 from the body to the reservoir with its temperature from Tr to Tbm1 descendingly until the stored energy is consumed. In these two stages, the reservoir Tr acts as the heat sink. Due to the oscillatory behavior, in the successive thermoelectric generator stage 3, the body Tb(t) acts as the heat sink in reverse and the TEM absorbs heat Q3 from the reservoir and stores energy 0.5LI(t)2 in the inductor again until Tb(t) approaches Tr from Tbm1 to Tr ascendingly, and continues absorbing heat Q4 from the reservoir with temperature from Tr to Tbm2 ascendingly in thermoelectric heater stage 4. These four stages constitute a full period of Tb(t) with two power-refrigeration cycles, and the transformations of Q1 from Tb0 to Tr and Q4 from Tbm2 to Tr are positive, while the transformations of Q2 and Q3 for Tbm1 to Tr are negative, respectively. Then, neglecting the energy loss and according to the theorem of equivalence of transformation[37], we obtain
yielding
which implicitly gives the relationship between Tbm1 and Tbm2. From Equation (6), it is seen that larger Tb(0) and lower Tr can give lower Tbm1 and larger Tbm2, implying larger positive transformation of Q1 and Q4 to compensate for the larger negative transformation of Q2 and Q3, respectively.
Finally, let us consider an n-type TEM in the LRC network with Tr higher than Tb(0) inversely. In such setup, electrons will be transferred from the high-temperature reservoir Tr to the low-temperature body Tb(t), yielding a negative I(t) and S. It is seen in Figure 5 that both Tb(t) and the dimensionless temperature (Tb(t) - Tr)/ΔT0 exhibit oscillatory behaviors with the dimensionless time t/τ*. When ΔT0 = -50 K, Tb(t) increases faster to Tr than that for ΔT0 = -10 K, which implies a colder object can heat up faster than the warm one to the thermally balanced state, just as the inverse Mpemba effect states. Such anomalous heating phenomena can also be characterized by tmin with smaller tmin @ΔT0 = -50 K than tmin @ΔT0 = -10 K, and the oscillatory behaviors in the LRC network can be also attributed to it.

Figure 5. Occurrence of inverse Mpemba effect in LRC network. (a) Evolution of temperature Tb with dimensionless time t/τ* with different initial temperature ΔT0 of -10 K and -50 K, respectively; (b) Evolution of dimensionless temperature (Tb(t) - Tr)/ΔT0 with t/τ*. tmin denotes the first time Tb approaches Tr, which is dependent on the initial temperature ΔT0. The subfigures in (b) illustrate the system setup. LRC: inductor-resistor-capacitor.
4. Conclusion
Through a TEM connecting a body and a reservoir at different temperatures to constitute a LRC network, we demonstrate the pure damping and oscillatory behaviors of both temperature Tb(t) and current I(t), which correspond to the normal and anomalous heating/cooling phenomena. Such a system is built from the macroscopic level rather than the traditional microscopic level, establishing an alternative framework for understanding the Mpemba effect for the first time, complementing existing microscopic studies. Further, we analyze the ZT- and L-dependent occurrence of the Mpemba effect with full consideration of the initial temperature ΔT0, revealing the occurrence domain of the Mpemba effect by two criteria: tmin and Tbm2 < Tr. Our study not only deepens the understanding of the Mpemba effect and its inverse, but also offers an alternative system to analyze the anomalous heating and cooling phenomena from the macroscopic level. Further experiments may be conducted with very efficient TEM, resistanceless superconducting coils, active gyrator-type circuits, etc.[35]. With such a macroscopic system, more flexible and dynamic ways for thermal management and energy conversion can be achieved by taking advantage of the oscillatory temperature, current, and heat flow.
Acknowledgments
Deepseek R1 was used solely for language polishing. The authors take full responsibility for the final manuscript.
Authors contribution
Wang Z: Conceptualization, methodology, investigation, writing-original draft, writing review & editing.
He J: Conceptualization, methodology, investigation.
Kim H: Validation, methodology.
Choi: W: Investigation, writing review & editing.
Hu R: Conceptualization, validation, methodology, writing-original draft, writing review & editing.
Conflicts of interest
The authors declare no conflicts of interest.
Ethical approval
Not applicable.
Consent to participate
Not applicable.
Consent for publication
Not applicable.
Availability of data and materials
The data and materials could be obtained from the corresponding author upon request.
Funding
This work is supported by the National Key Research and Development Program of China (Garnt Nos. 2024YFB4104701, 2022YFA1203104), the National Natural Science Foundation of China (Garnt Nos. 52422603, 52511540065, 52521008, W2521166 and 92463311), the Science and Technology Program of Hubei Province (Garnt No. 2023AFA072), the Interdisciplinary Research Program of HUST (Garnt No. 5003120094), the Shenzhen Technology Project (Garnt No. JCYJ20241202123700001), and the Open Research Fund of Suzhou Laboratory (Garnt No. SZLAB-1508-2024-TS016).
Copyright
© The Author(s) 2026.
References
-
1. Chen G. Non-Fourier phonon heat conduction at the microscale and nanoscale. Nat Rev Phys. 2021;3(8):555-569.[DOI]
-
2. Li X, Lee S. Crossover of ballistic, hydrodynamic, and diffusive phonon transport in suspended graphene. Phys Rev B. 2019;99(8):085202.[DOI]
-
3. Hu R, Chen Z, Kim SK. Can thermal nonreciprocity help radiative cooling? Research. 2024;7:563.[DOI]
-
4. Chen Z, Yu S, Ma J, Xie B, Kim SK, Hu R. Wavelength-selective thermal nonreciprocity barely improves sky radiative cooling. Fundam Res. 2026;6(2):718-724.[DOI]
-
5. Cho JW, Lee YJ, Kim JH, Hu R, Lee E, Kim SK. Directional radiative cooling via exceptional epsilon-based microcavities. ACS Nano. 2023;17(11):10442-10451.[DOI]
-
6. Mpemba EB, Osborne DG. Cool? Phys Educ. 1969;4(3):172-175.[DOI]
-
7. Jeng M. The Mpemba effect: When can hot water freeze faster than cold? Am J Phys. 2006;74(6):514-522.[DOI]
-
8. Lu Z, Raz O. Nonequilibrium thermodynamics of the Markovian Mpemba effect and its inverse. Proc Natl Acad Sci U S A. 2017;114(20):5083-5088.[DOI]
-
9. Klich I, Raz O, Hirschberg O, Vucelja M. Mpemba index and anomalous relaxation. Phys Rev X. 2019;9(2):021060.[DOI]
-
10. Schwarzendahl FJ, Löwen H. Anomalous cooling and overcooling of active colloids. Phys Rev Lett. 2022;129(13):138002.[DOI]
-
11. Kumar A, Bechhoefer J. Exponentially faster cooling in a colloidal system. Nature. 2020;584(7819):64-68.[DOI]
-
12. Kumar A, Chétrite R, Bechhoefer J. Anomalous heating in a colloidal system. Proc Natl Acad Sci U S A. 2022;119(5):e2118484119.[DOI]
-
13. Hu C, Li J, Huang S, Li H, Luo C, Chen J, et al. Conformation directed mpemba effect on polylactide crystallization. Cryst Growth Des. 2018;18(10):5757-5762.[DOI]
-
14. Lasanta A, Vega Reyes F, Prados A, Santos A. When the hotter cools more quickly: Mpemba effect in granular fluids. Phys Rev Lett. 2017;119(14):148001.[DOI]
-
15. Baity-Jesi M, Calore E, Cruz A, Fernandez LA, Gil-Narvión JM, Gordillo-Guerrero A, et al. The Mpemba effect in spin glasses is a persistent memory effect. Proc Natl Acad Sci U S A. 2019;116(31):15350-15355.[DOI]
-
16. Carollo F, Lasanta A, Lesanovsky I. Exponentially accelerated approach to stationarity in Markovian open quantum systems through the mpemba effect. Phys Rev Lett. 2021;127(6):060401.[DOI]
-
17. Chatterjee AK, Takada S, Hayakawa H. Quantum mpemba effect in a quantum dot with reservoirs. Phys Rev Lett. 2023;131(8):080402.[DOI]
-
18. Moroder M, Culhane O, Zawadzki K, Goold J. Thermodynamics of the quantum mpemba effect. Phys Rev Lett. 2024;133(14):140404.[DOI]
-
19. Nava A, Egger R. Mpemba effects in open nonequilibrium quantum systems. Phys Rev Lett. 2024;133(13):136302.[DOI]
-
20. Liu S, Zhang HK, Yin S, Zhang SX. Symmetry restoration and quantum mpemba effect in symmetric random circuits. Phys Rev Lett. 2024;133(14):140405.[DOI]
-
21. Joshi LK, Franke J, Rath A, Ares F, Murciano S, Kranzl F, et al. Observing the quantum mpemba effect in quantum simulations. Phys Rev Lett. 2024;133:010402.[DOI]
-
22. Gal A, Raz O. Precooling strategy allows exponentially faster heating. Phys Rev Lett. 2020;124(6):060602.[DOI]
-
23. Burridge HC, Linden PF. Questioning the Mpemba effect: Hot water does not cool more quickly than cold. Sci Rep. 2016;6:37665.[DOI]
-
24. Teza G, Yaacoby R, Raz O. Relaxation shortcuts through boundary coupling. Phys Rev Lett. 2023;131:017101.[DOI]
-
25. Pemartín IG, Mompó E, Lasanta A, Martín-Mayor V, Salas J. Shortcuts of freely relaxing systems using equilibrium physical observables. Phys Rev Lett. 2024;132(11):117102.[DOI]
-
26. Rylands C, Klobas K, Ares F, Calabrese P, Murciano S, Bertini B. Microscopic origin of the quantum mpemba effect in integrable systems. Phys Rev Lett. 2024;133:010401.[DOI]
-
27. Mirabedin SM, Farhadi F. Numerical investigation of solidification of single droplets with and without evaporation mechanism. Int J Refrig. 2017;73:219-225.[DOI]
-
28. Vynnycky M, Kimura S. Can natural convection alone explain the Mpemba effect? Int J Heat Mass Transf. 2015;80:243-255.[DOI]
-
29. Auerbach D. Supercooling and the Mpemba effect: When hot water freezes quicker than cold. Am J Phys. 1995;63(10):882-885.[DOI]
-
30. Zhang X, Huang Y, Ma Z, Zhou Y, Zhou J, Zheng W, et al. Hydrogen-bond memory and water-skin supersolidity resolving the Mpemba paradox. Phys Chem Chem Phys. 2014;16(42):22995-23002.[DOI]
-
31. Aharony Shapira S, Shapira Y, Markov J, Teza G, Akerman N, Raz O, et al. Inverse mpemba effect demonstrated on a single trapped ion qubit. Phys Rev Lett. 2024;133:010403.[DOI]
-
32. Ibáñez M, Dieball C, Lasanta A, Godec A, Rica RA. Heating and cooling are fundamentally asymmetric and evolve along distinct pathways. Nat Phys. 2024;20(1):135-141.[DOI]
-
33. Van Vu T, Hayakawa H. Thermomajorization mpemba effect. Phys Rev Lett. 2025;134(10):107101.[DOI]
-
34. Domenicali CA. Irreversible thermodynamics of thermoelectric effects in inhomogeneous, anisotropic media. Phys Rev. 1953;92(4):877-881.[DOI]
-
35. Schilling A, Zhang X, Bossen O. Heat flowing from cold to hot without external intervention by using a “thermal inductor”. Sci Adv. 2019;5(4):eaat9953.[DOI]
-
36. Goupil C, Seifert W, Zabrocki K, Müller E, Snyder GJ. Thermodynamics of thermoelectric phenomena and applications. Entropy. 2011;13(8):1481-1517.[DOI]
-
37. Xue TW, Guo ZY. Thermoelectric cycle and the second law of thermodynamics. Entropy. 2023;25(1):155.[DOI]
Copyright
© The Author(s) 2026. This is an Open Access article licensed under a Creative Commons Attribution 4.0 International License (https://creativecommons.org/licenses/by/4.0/), which permits unrestricted use, sharing, adaptation, distribution and reproduction in any medium or format, for any purpose, even commercially, as long as you give appropriate credit to the original author(s) and the source, provide a link to the Creative Commons license, and indicate if changes were made.
Publisher’s Note
Share And Cite


